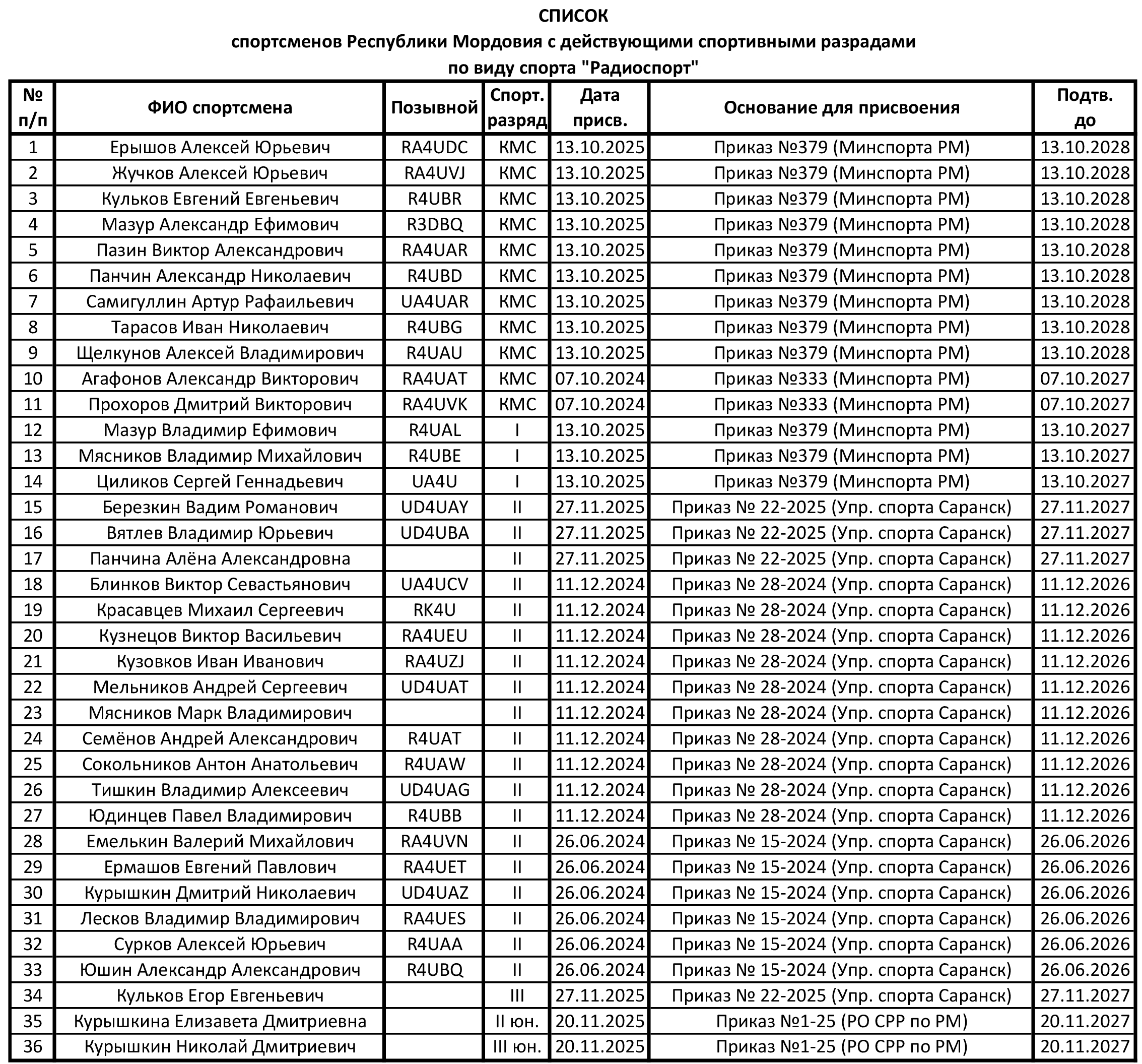
Спортивная комиссия
Радиоспорт — технический вид спорта, включающий различные комплексные соревнования с использованием приёмной и передающей радиоаппаратуры в сочетании с общефизическими упражнениями.
Радиоспорт объединяет спортивные дисциплины, связанные с передачей сообщений по радио (радиосвязь) и извлечением информации о местоположении (радиопеленгация) с помощью радиосредств в рамках любительской службы радиосвязи:
- скоростную радиотелеграфию (СРТ) – прием и передачу сообщений (радиограмм) на скорость с использованием кода Морзе;
- спортивную радиопеленгацию (включает несколько дисциплин) – поиск размещенных в лесу и на пересеченной местности радиопередатчиков в простонародье “лис”, с помощью портативного радиопеленгатора;
- радиосвязь на КВ (включает несколько дисциплин) и УКВ – установление радиосвязей с другими участниками эфира.
- радиомногоборье (включает несколько дисциплин) – упражнения, аналогичные СРТ и радиосвязи на КВ, а также обмен радиограммами в сети радиостанций и спортивное ориентирование.
В региональном отделении СРР по республике Мордовия создана Спортивная комиссия в составе:
- Самигуллин А. Р. – UA4UAR (Председатель)
- Циликов С. Г. – UA4U
- Похлебаев А. И. – R4UR
- Щелкунов А. В. – R4UAU



